
PDF Publication Title:
Text from PDF Page: 011
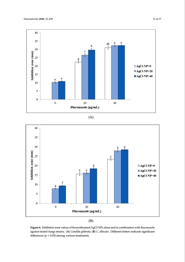
Nanomaterials 2020, 10, 638 Nanomaterials 2020, 10, x FOR PEER REVIEW 11 of 17 11 of 17 (A) (B) Figure 6. Inhibition zone values of biosynthesized AgCl-NPs alone and in combination with fluconazole Figure 6. Inhibition zone values of biosynthesized AgCl-NPs alone and in combination with against tested fungi strains. (A) Candida glabrata; (B) C. albicans. Different letters indicate significant fluconazole against tested fungi strains. (A) Candida glabrata; (B) C. albicans. Different letters indicate differences (p < 0.05) among various treatments. significant differences (P < 0.05) among various treatments.PDF Image | Synthesis of Biogenic Silver Nanoparticles Aerial Part Extract
PDF Search Title:
Synthesis of Biogenic Silver Nanoparticles Aerial Part ExtractOriginal File Name Searched:
nanomaterials-10-00638.pdfDIY PDF Search: Google It | Yahoo | Bing
Turbine and System Plans CAD CAM: Special for this month, any plans are $10,000 for complete Cad/Cam blueprints. License is for one build. Try before you buy a production license. More Info
Waste Heat Power Technology: Organic Rankine Cycle uses waste heat to make electricity, shaft horsepower and cooling. More Info
All Turbine and System Products: Infinity Turbine ORD systems, turbine generator sets, build plans and more to use your waste heat from 30C to 100C. More Info
CO2 Phase Change Demonstrator: CO2 goes supercritical at 30 C. This is a experimental platform which you can use to demonstrate phase change with low heat. Includes integration area for small CO2 turbine, static generator, and more. This can also be used for a GTL Gas to Liquids experimental platform. More Info
Introducing the Infinity Turbine Products Infinity Turbine develops and builds systems for making power from waste heat. It also is working on innovative strategies for storing, making, and deploying energy. More Info
Need Strategy? Use our Consulting and analyst services Infinity Turbine LLC is pleased to announce its consulting and analyst services. We have worked in the renewable energy industry as a researcher, developing sales and markets, along with may inventions and innovations. More Info
Made in USA with Global Energy Millennial Web Engine These pages were made with the Global Energy Web PDF Engine using Filemaker (Claris) software.
Infinity Turbine Developing Spinning Disc Reactor SDR or Spinning Disc Reactors reduce processing time for liquid production of Silver Nanoparticles.
| CONTACT TEL: 608-238-6001 Email: greg@infinityturbine.com | RSS | AMP |