
PDF Publication Title:
Text from PDF Page: 017
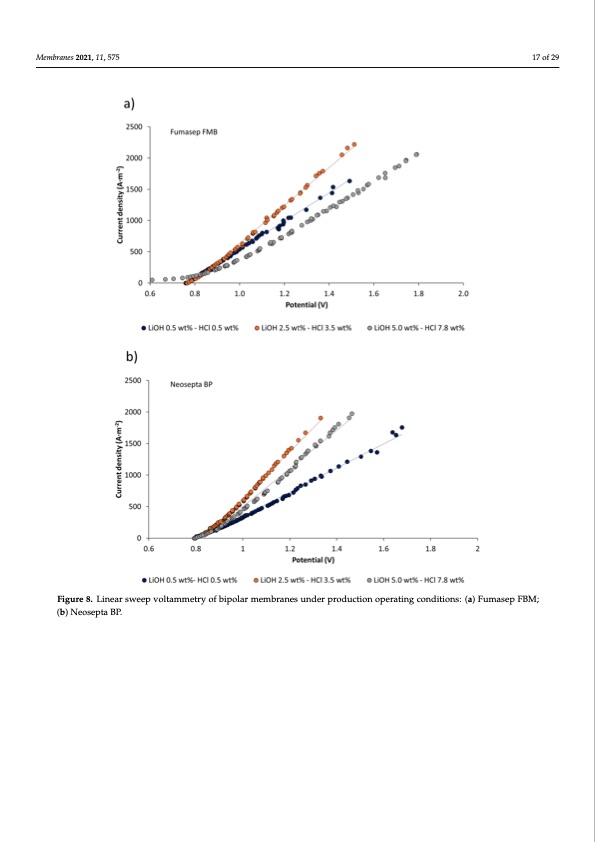
Membranes 2021, 11, x FOR PEER REVIEW 18 of 30 Membranes 2021, 11, 575 17 of 29 Figure 8. Linear sweep voltammetry of bipolar membranes under production operating conditions: (a) Fumasep FBM; Figure 8. Linear sweep voltammetry of bipolar membranes under production operating conditions: (a) Fumasep FBM; (b) (b) Neosepta BP. Neosepta BP. 3.3.3. Linear Sweep Voltammetry in Cation-Exchange Membranes. Linear sweep voltammetry was performed on the CMX and CMB membranes at dif- ferent LiOH concentrations. Figure 9 presents a comparative plot of the different current– voltage curves obtained. Current variation with potential was linear for the measurement range used, and limiting current density was not reached in any case. It can be observed from the graph that current densities close to 5000 A∙m−2 for the CMX membrane, and between 2200 and 3500 A∙m−2 for the CMB membrane, were reached for a potential range between 0 and 1.8 V. This indicates that the high electrolyte concentrations studied allow high availability of Li+ ions on the membrane surface to migrate across the membrane without the occurrence of concentration polarization. The highest current densities were reached at higher electrolyte concentrations. For theCMX membrane, the current densityPDF Image | Bipolar Membrane Electrodialysis for LiOH Production
PDF Search Title:
Bipolar Membrane Electrodialysis for LiOH ProductionOriginal File Name Searched:
membranes-11-00575-v2.pdfDIY PDF Search: Google It | Yahoo | Bing
Product and Development Focus for Infinity Turbine
ORC Waste Heat Turbine and ORC System Build Plans: All turbine plans are $10,000 each. This allows you to build a system and then consider licensing for production after you have completed and tested a unit.Redox Flow Battery Technology: With the advent of the new USA tax credits for producing and selling batteries ($35/kW) we are focussing on a simple flow battery using shipping containers as the modular electrolyte storage units with tax credits up to $140,000 per system. Our main focus is on the salt battery. This battery can be used for both thermal and electrical storage applications. We call it the Cogeneration Battery or Cogen Battery. One project is converting salt (brine) based water conditioners to simultaneously produce power. In addition, there are many opportunities to extract Lithium from brine (salt lakes, groundwater, and producer water).Salt water or brine are huge sources for lithium. Most of the worlds lithium is acquired from a brine source. It's even in seawater in a low concentration. Brine is also a byproduct of huge powerplants, which can now use that as an electrolyte and a huge flow battery (which allows storage at the source).We welcome any business and equipment inquiries, as well as licensing our turbines for manufacturing.| CONTACT TEL: 608-238-6001 Email: greg@infinityturbine.com | RSS | AMP |